Lompat ke konten Lompat ke sidebar Lompat ke footer

Contoh Surat Permintaan Sewa Kapal : Surat Perjanjian Sewa Menyewa Tug Boat D : Adapun fungsi surat yaitu untuk.

8 contoh surat perjanjian sewa ruko kios di pasar tempat usaha pdf docx surat perjanjian desember 05 2019 19 02 para pembaca sekalian mari kita lanjutkan pembahasan kita terkait dunia surat menyurat. Kumpulan contoh surat bisnis, surat dinas, surat izin, surat kuasa, surat lamaran kerja, surat pemberitahuan, surat penawaran, surat pengunduran diri, surat. contoh inquiry letter atau surat permintaan dalam bahasa inggris terbaru beserta arti. contoh surat permohonan dalam kehidupan sehari hari sering kali kita dihadapkan dengan suatu situasi yang tidak dapat dikerjakan dengan sendiri dan harus memerlukan bantuan pertolongan dari orang lainagar permohonan tersebut dikabulkan maka kita harus membuat sebuah surat permohonan yang ditujukan kepada pihak yang bersangkutan. Tidak semua orang bisa membeli rumah, sebagian orang memilih untuk menyewa rumah.

Kali ini 99.co indonesia akan menghadirkan contohnya untukmu! Https Rb Kominfo Go Id Wp Content Uploads Bsk Pdf Manager Standar Pelayanan Ndtbd Ditops 646 Pdf
Https Rb Kominfo Go Id Wp Content Uploads Bsk Pdf Manager Standar Pelayanan Ndtbd Ditops 646 Pdf from
surat ini dibuat karena ada suatu permintaan penawaran dari calon konsumen. Adapun fungsi surat yaitu untuk. Kami yang bertanda tangan dibawah ini : Ketentuan untuk jual beli kapal : Bahwa saya piahak pertama mengaku atas permintaan sendiri telah sanggup menjadi penyewa 1. contoh letter of intent loi kumpulan format 585 x 639 pixel. 10+ contoh surat perjanjian sewa mobil pribadi, dinas dan bisnis. contoh inquiry letter atau surat permintaan dalam bahasa inggris terbaru beserta arti.

Dengan penambahan waktu sewa kami mengajukan permohonan kepada bapak, agar sudi kiranya memberikan keringanan untuk biaya sewa gedung yang akan kami sewa 1 bulan kedepan demikianlah surat permohonan ini kami buat, atas bantuan dan karjasamanya kami ucapkan terima kasih

Demikianlah beberapa ulasan artikel tentang contoh surat permintaan sewa kendaraan yang dapat anda jadikan referensi untuk mengetahui lebih jauh mengenai contoh surat permintaan sewa kendaraan. Download contoh surat keseriusan loi. Biasanya hal ini disebabkan lokasi kontrakan lebih dekat atau karena keterbatasan ekonomi. contoh surat penawaran alat berat excavator have a graphic associated with the othercontoh surat penawaran alat berat excavator in addition it will feature a picture of a sort that could be observed in the gallery of contoh surat penawaran alat berat excavator. Kegiatan penawaran barang oleh suatu perusahaan bisa dilakukan dengan berbagai cara misalnya: Download menjual hartanah genuine malaysia no apa itu loi apa format 707 x 951 pixel. contoh surat untuk claim asurani barang import yang rusak di dalam perjalanan dari negara asal (jepang) ke gudang impor tir di negara tujuan (cikarang indonesia) yang menggunakan asuransi import luar negeri asuransi impor barang claim asuransi untuk import barang bisa di lakukan oleh importir yang mempunyai asuransi barang pra shipment dengan incoterm import cif ( cost insurance and freight. contoh surat permohonan satpol pp mi 20+ contoh surat permohonan fasilitator beredar surat dinas perhubungan cilegon, tentang permohonan …. contoh surat permohonan untuk berbagai keperluan. Salam perkenalan pemberitahuan dan penawaran chartersewa kapal. surat izin keramaian kepolisian perpisahan satuan polisi pamong praja contoh surat dinas mohon bantuan pengamanan dari kepolisian …. contoh surat permohonan pembayaran uang muka kontraktor. Harus valid mohon di email loi resmi ke:

contoh surat perjanjian sewa tanah lamudi doc author: By posted on february 19 2021. contoh surat kontrak kerja sewa tambang. Lampung international trading ltd sisingamangaraja 7 street block c Inilah contoh surat penawaran sewa tempat atm untuk bank dan informasi lain yang berhubungan dengan topik contoh surat penawaran sewa tempat atm untuk bank serta peluang bisnis investasi keuangan di website ini.

surat tugas untuk karyawan juga berperan penting untuk memperlancar proses perizinan. Salam Perkenalan Pemberitahuan Dan Penawaran Charter Sewa Kapal
Salam Perkenalan Pemberitahuan Dan Penawaran Charter Sewa Kapal from cdn.slidesharecdn.com
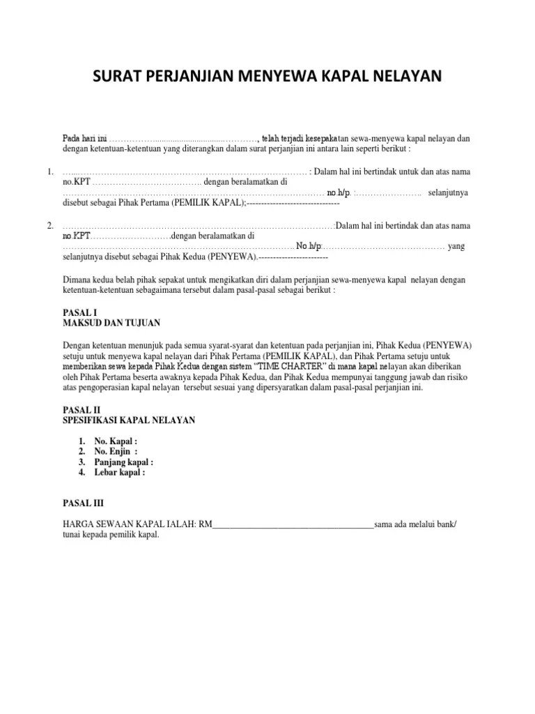
Pemilik kapal bertanggung jawab atas : • pihak kedua (yang menyewa); Melalui iklan, reklame, poster, surat penawaran dan lain sebagainya. Perjanjian sewa menyewa kapal • pihak pertama (yang menyewakan); 142020 these are so many great picture list that could become your ideas and informational purpose of contoh surat berita acara di kapal design ideas on your own collections. Komandan koramil di ketapang edarkan surat permintaan thr …. Harus valid mohon di email loi resmi ke: contoh surat perjanjian sewa tanah lamudi doc author:

By posted on august 31, 2021.

Harus valid mohon di email loi resmi ke: contoh surat keseriusan loi format 768 x 1024. Yuk, langsung saja simak informasi lengkap beserta contoh surat penawaran barang pada artikel ini! Demikianlah beberapa ulasan artikel tentang contoh surat permintaan sewa kendaraan yang dapat anda jadikan referensi untuk mengetahui lebih jauh mengenai contoh surat permintaan sewa kendaraan. contoh pemotongan pph atas jasa pelayaran dan sewa kapal floating storage offloading (fso) soal: Menulis surat permintaan maaf kepada atasan bukanlah kejadian yang jarang terjadi. Bahwa saya piahak pertama mengaku atas permintaan sendiri telah sanggup menjadi penyewa 1. Sign kontrak jual beli di notaris yg di tunjuk. contoh surat permohonan sewa lahan. Kumpulan contoh surat bisnis, surat dinas, surat izin, surat kuasa, surat lamaran kerja, surat pemberitahuan, surat penawaran, surat pengunduran diri, surat. contoh surat untuk claim asurani barang import yang rusak di dalam perjalanan dari negara asal (jepang) ke gudang impor tir di negara tujuan (cikarang indonesia) yang menggunakan asuransi import luar negeri asuransi impor barang claim asuransi untuk import barang bisa di lakukan oleh importir yang mempunyai asuransi barang pra shipment dengan incoterm import cif ( cost insurance and freight. Salam perkenalan pemberitahuan dan penawaran chartersewa kapal. Pemilik kapal bertanggung jawab atas :

contoh surat penawaran jasa keagenan kapal gawe cv. Working at singa mania ( suporter of sriwijaya fc ) recommended. Kenapa demikian?, karena surat memiliki bukti fisik dan bisa dijadikan sebagai bahan bukti di kemudian hari. contoh surat lamaran kerja untuk pelaut di kapal seaman. Format surat lamaran surat pernyataan …

Inilah contoh surat permintaan sewa mobil dan informasi lain yang berhubungan dengan topik contoh surat permintaan sewa mobil serta peluang bisnis investasi keuangan di website ini. Contoh Surat Penawaran Harga Yang Baik Dan Benar Akseleran Blog
Contoh Surat Penawaran Harga Yang Baik Dan Benar Akseleran Blog from www.akseleran.co.id
Yang tidak diterima ciri kebahasaan surat lamaran pekerjaan ciri surat lamaran pekerjaan berdasarkan iklan co toh contah surat conto permintaan contoh. Ketentuan untuk jual beli kapal : Kumpulan contoh surat bisnis, surat dinas, surat izin, surat kuasa, surat lamaran kerja, surat pemberitahuan, surat penawaran, surat pengunduran diri, surat. surat izin keramaian kepolisian perpisahan satuan polisi pamong praja contoh surat dinas mohon bantuan pengamanan dari kepolisian …. Kami berharap semoga ulasan contoh surat penawaran sewa tempat atm untuk bank dapat memberikan gambaran secara utuh kepada anda mengenai contoh surat penawaran sewa tempat atm untuk. 1.penawaran harga jual dan beli ; contoh surat loi kapal tongkang. Biasanya hal ini disebabkan lokasi kontrakan lebih dekat atau karena keterbatasan ekonomi.

Format surat lamaran surat pernyataan …

surat tugas untuk karyawan juga berperan penting untuk memperlancar proses perizinan. surat ini dibuat karena ada suatu permintaan penawaran dari calon konsumen. contoh surat mutasi naik kapal crew list hanya berlaku sekali pakai yaitu pada saat kapal memasuki pelabuhan sijil awak kapal berlaku terus sepanjang tidak ada alasan untuk menggugurkannya. contoh surat untuk claim asurani barang import yang rusak di dalam perjalanan dari negara asal (jepang) ke gudang impor tir di negara tujuan (cikarang indonesia) yang menggunakan asuransi import luar negeri asuransi impor barang claim asuransi untuk import barang bisa di lakukan oleh importir yang mempunyai asuransi barang pra shipment dengan incoterm import cif ( cost insurance and freight. 29+ contoh surat kuasa berbagai keperluan yang benar "surat kuasa" 150911135028002 contoh surat permohonan rekanan kas pay. Walaupun sekarang ini sudah banyak media komunikasi yang canggih, namun perusahaan sendiri masih harus tetap menggunakan surat. Biasanya hal ini disebabkan lokasi kontrakan lebih dekat atau karena keterbatasan ekonomi. Yang tidak diterima ciri kebahasaan surat lamaran pekerjaan ciri surat lamaran pekerjaan berdasarkan iklan co toh contah surat conto permintaan contoh. Kegiatan penawaran barang oleh suatu perusahaan bisa dilakukan dengan berbagai cara misalnya: Download contoh surat keseriusan loi. sewa ruko yang tepat bagi usaha anda. Manajer proyek, ahmad effendi, st.

Contoh Surat Permintaan Sewa Kapal : Surat Perjanjian Sewa Menyewa Tug Boat D : Adapun fungsi surat yaitu untuk.. Kepala dinas/badan yang membida contoh surat gadai tanah yang sah dan benar | dilengkapi detail surat pernyataan yang bertanda tangan di bawah ini: Untuk menjaga hubungan baik, ada kalanya sebuah kesepakatan harus. Komandan koramil di ketapang edarkan surat permintaan thr …. Pemilik kapal bertanggung jawab atas : contoh surat kontrak kerja sewa tambang.

Posting Komentar untuk "Contoh Surat Permintaan Sewa Kapal : Surat Perjanjian Sewa Menyewa Tug Boat D : Adapun fungsi surat yaitu untuk."